How and why open source scientific software gets made – and what keeps us from making more
Mike Mahoney
ESIP Community Fellow (IT&I, ML)
PhD candidate in environmental science
Research assistant, CAFRI
These slides: mm218.dev/nasatops2023

All users of the program have access to the source code of the program, and are allowed to redistribute, modify, and use the program as they see fit.
“Given enough eyeballs, all bugs are shallow.”
– Eric S. Raymond, The Cathedral and the Bazaar
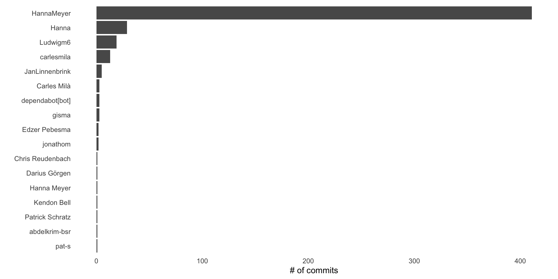
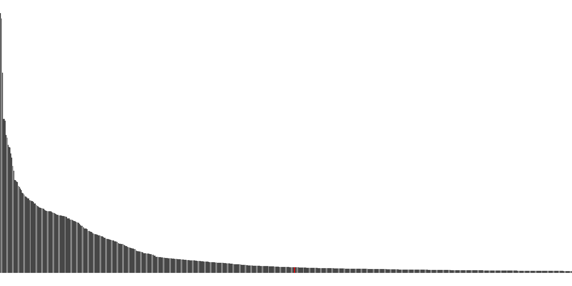
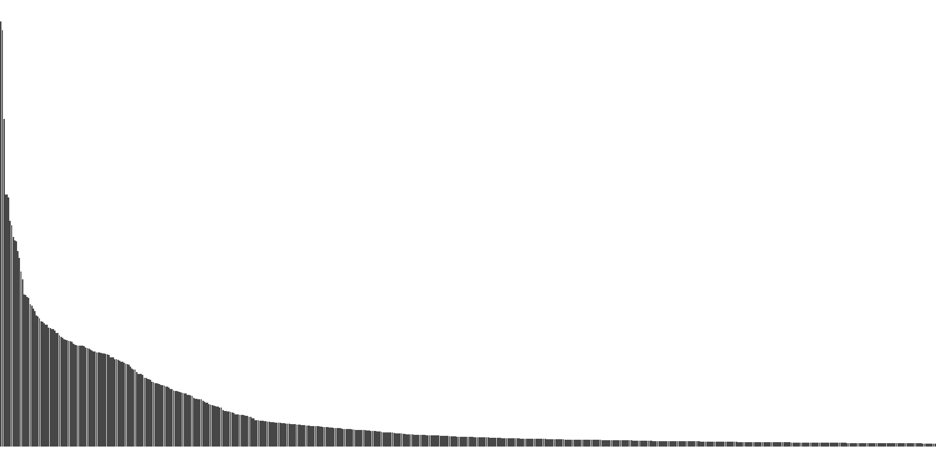
From https://github.com/schochastics/CRAN_collaboration
From https://github.com/schochastics/CRAN_collaboration
Civilization advances by extending the number of important operations which we can perform without thinking about them.
– A N Whitehead
https://web.archive.org/web/20160322031314/https://simplystatistics.org/2013/01/23/statisticians-and-computer-scientists-if-there-is-no-code-there-is-no-paper/
I’m not worried about being scooped, I’m worried about being ignored
– Magnus Nordborg
Running a successful open source project is just Good Will Hunting in reverse, where you start out as a respected genius and end up being a janitor who gets into fights.
– Byrne Hobart
@mikemahoney218
Slides available at mm218.dev/nasatops2023
Talk for Open Science Cluster – October 2023